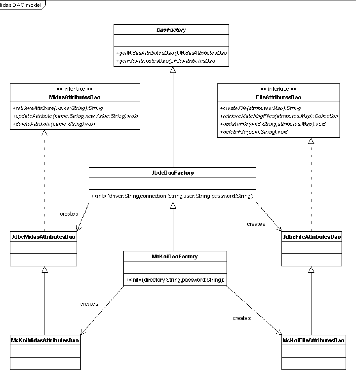
Are you looking to improve the efficiency of your data access in software development? One way to achieve this is by implementing the data access object pattern. This design pattern separates the data access logic from the business logic, making your code more organized and easier to maintain.
By using the data access object pattern, you can centralize all the data access operations in one place. This simplifies the codebase and reduces duplication, as multiple components can use the same data access object to interact with the database. This results in cleaner, more modular code that is easier to test and debug.

data access object pattern
The Benefits of Using the Data Access Object Pattern
One of the key benefits of the data access object pattern is improved code reusability. By encapsulating all data access logic in a separate object, you can easily reuse it across different parts of your application. This not only saves time but also reduces the risk of errors and inconsistencies in your code.
Another advantage of the data access object pattern is enhanced flexibility. Since the data access logic is decoupled from the business logic, you can easily swap out the underlying data source without affecting the rest of your application. This makes it easier to adapt to changing requirements and technologies in the future.
In conclusion, the data access object pattern is a powerful tool for improving the efficiency and maintainability of your software projects. By separating data access logic from business logic, you can create cleaner, more modular code that is easier to reuse and maintain. Give it a try in your next project and see the benefits for yourself!

JAVA EE Data Access Object Design Pattern Or DAO Pattern

Figure 6 From Data Access Object Pattern Semantic Scholar

JAVA EE Data Access Object Design Pattern Or DAO Pattern

PDF Data Access Object Pattern Semantic Scholar

DAO Design Pattern EXPLAINED In 5 Minutes YouTube